Gyaan Kunja

Friday, 30 October 2020

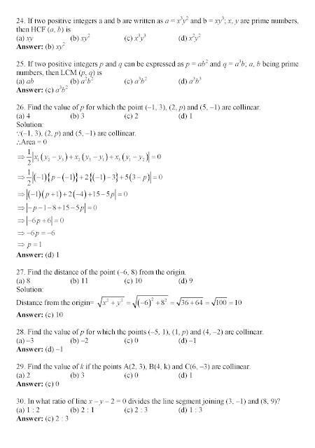
Class X Mathematics Practice set Question and Answers










 














Posted by mjd at 03:11 No comments:
Email ThisBlogThis!Share to XShare to FacebookShare to Pinterest
Newer Posts Older Posts Home
Subscribe to: Comments (Atom)

Total Pageviews

Blog Archive

  • ►  2024 (2)
    • ►  August (1)
    • ►  June (1)
  • ►  2021 (1)
    • ►  February (1)
  • ▼  2020 (12)
    • ►  November (1)
    • ▼  October (1)
      • Class X Mathematics Practice set Question and Answers
    • ►  September (1)
    • ►  June (9)
Picture Window theme. Powered by Blogger.